母線保護差動回路包括母線大差回路和各段母線小差回路,母線大差是指除母聯(lián)開關和分段開關外所有支路電流所構成的差動回路。 某段母線小差是指該段母線上連接的所有支路(包括母聯(lián)和分段開關)電流所構成的差動回路。 母線大差比率差動用于判別母線區(qū)內和區(qū)外故障,小差比率差動用于故障母線的選擇。
南瑞繼保PCS-915 母線保護裝置設計原理: 當分段母線互聯(lián)運行(母聯(lián)開關合位)時,大差比率制動系數用高值,小差比率制動系數用低值; 當分段母聯(lián)分列運行(母聯(lián)開關分位)時,大差比率制動系數用低值,小差比率制動系數用高值。 大差、小差比率制動系數高值和低值是內部固化的,大差高值為0.5,低值為0.3,小差高值為0.6,低值為0.5,不需要整定。 當大差高值和小差低值同時動作,或者大差低值和小差高值同時動作時,比率差動元件動作,母線保護中大差判故障,小差選母線。 雙母線單分段接線圖中各母聯(lián)CT極性同名端如圖1所示定義,各支路CT極性同名端在母線側。

?
▲圖1 ?PCS-915一次系統(tǒng)示意圖
選取支路2掛II母A,支路3掛I母,母聯(lián)1開關1在合位,將母聯(lián)1、支路2、支路3的SV接收軟壓板置“1”,其余SV軟壓板置“0”,母聯(lián)1互聯(lián)軟壓板置“1”,分列軟壓板置“0”,配置完成各間隔的SV。 繼保之星-1600 繼電保護測試儀IA相電流映射為母聯(lián)IA相電流,IB相電流映射為支路2的IA相電流,IC相電流映射為支路3的IA相電流,示意圖如圖2所示。

?
試驗參數設置界面如圖3所示(本試驗設定母差電流定值為0.3A舉例)

▲圖3 大差高值(小差低值)校驗初始值設置
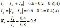
在工具欄點擊“?”或按鍵盤“run”鍵開始試驗,此時保護不動作,持續(xù)按住鍵盤“▲”增大IB值,觀察保護裝置面板指示燈,直到“母差動作”指示燈亮,記錄IB的電流值,此時IB應為0.6A。 大差高值與小差低值同時滿足條件,比率差動元件動作。
(1)計算大差比率系數高值。 計算方法如下:

計算所得的大差高值K值0.5與目標值0.5一致,試驗合格。
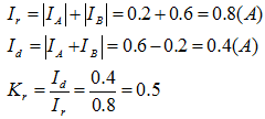
(2)計算小差比率系數低值。 計算方法如下:

計算所得的小差低值K值0.5與目標值0.5一致,試驗合格。
選取支路2掛II母A,支路3掛I母,母聯(lián)開關1在分位,將母聯(lián)1、支路2、支路3的SV接收軟壓板置“1”,其余SV軟壓板置“0”,母聯(lián)1互聯(lián)軟壓板置“0”,分列軟壓板置“1”,配置完成各間隔的SV。 繼保之星-1600 IA相電流映射為母聯(lián)IA相電流,IB相電流映射為支路2的IA相電流, IC相電流映射為支路3的IA相電流,示意圖如上圖2所示。
試驗參數設置界面如圖4所示(本試驗設定母差電流定值為0.3A舉例)

▲圖4 大差低值校驗初始值設置
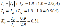
在工具欄點擊“?”或按鍵盤“run”鍵開始試驗,此時保護不動作,持續(xù)按住鍵盤“▲”增大IB值,觀察保護裝置面板指示燈,直到“母差動作”指示燈亮,記錄IB的電流值,此時IB應為1.9A。 由于此時母聯(lián)未加電流,I母和II母小差系數均為1,滿足小差高值0.6的條件,當大差低值再滿足條件時,比率差動元件就會動作。
計算大差比率系數高值。 計算方法如下:

計算所得的K值0.31與目標值0.3基本一致,試驗合格。
選取支路2、支路3掛II母A,母聯(lián)開關1在分位,將母聯(lián)1、支路2、支路3的SV接收軟壓板置“1”,其余SV軟壓板置“0”,母聯(lián)1互聯(lián)軟壓板置“0”,分列軟壓板置“1”,配置完成各間隔的SV。 繼保之星-1600 IA相電流映射為母聯(lián)IA相電流,IB相電流映射為支路2的IA相電流, IC相電流映射為支路3的IA相電流,示意圖如圖5所示。

試驗參數設置界面如圖6所示(本試驗設定母差電流定值為0.3A舉例)

▲圖6 小差高值校驗初始值設置
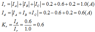
在工具欄點擊“?”或按鍵盤“run”鍵開始試驗,此時保護不動作,持續(xù)按住鍵盤“▲”增大IB值,觀察保護裝置面板指示燈,直到“母差動作”指示燈亮,記錄IB的電流值,此時IB應為0.6A。 由于此時II母上未掛支路,大差比率系數為1,滿足大差低值0.3的條件,當小差高值再滿足條件時,比率差動元件就會動作。
計算小差比率系數高值。 計算方法如下:

計算所得的K值0.6與目標值0.6一致,試驗合格。